Comunello HYRON lineaire poortopener Encoder Zwart Eindschakelaar

HYRON - Stedagroep Poortopeners
MPN: GHN220Y0LF000A EAN: DGE: Locatie: Merk: Stedagroep
Levertijd: 3 – 5 werkdagen
Uitvoering poortvleugel
Eindstop of eindschakelaar
Voltage
Uw prijs:
Vanaf 293,23 (242,34 excl. BTW)
  • Gratis verzending vanaf €50 excl. btw
  • Bestelling af te halen bij afhaalbalie in Schijndel
  • Montage service op aanvraag
  • Klantbeoordeling van 4,6/5
Productbeschrijving

De Comunello HYRON is een telescopische poortopener voor draaipoorten, en vormt de doorontwikkelde opvolger van de bekende RAM-serie. Deze motor is ontworpen voor professioneel gebruik, met een gunstige prijsstelling en een robuuste telescopische constructie die garant staat voor langdurige prestaties.

Drie uitvoeringen voor elke poortgrootte

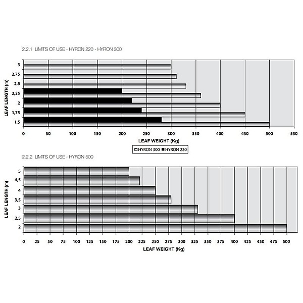
De HYRON is beschikbaar in drie verschillende varianten, afgestemd op de afmetingen en het gewicht van de poortvleugels:

  • HYRON 220 – Voor poortvleugels tot 2,25 meter en maximaal 275 kg (afhankelijk van de vleugellengte)
  • HYRON 300 – Voor poortvleugels tot 3 meter en maximaal 500 kg (afhankelijk van de vleugellengte)
  • HYRON 500 – Voor langere poortvleugels tot 5 meter, bij maximaal 500 kg (afhankelijk van de vleugellengte)

Hoe korter de poortvleugel, hoe hoger het maximale toelaatbare gewicht.

Productspecificaties
 Merk Comunello automation
Uitvoering poortvleugel Tot 2,25 meter of max 275 kg, tot  3 meter of max 500 kg, tot 5 meter of max 500 kg
Eindstop of eindschakelaar Mechanische eindstop (standaard), eindschakelaar
Voltage 24V 230V
Type poortopener Losse motor
Hydraulisch of Mechanisch Mechanisch
Downloads
[RESULT]
Comunello HYRON lineaire poortopener Encoder Zwart Eindschakelaar

HYRON